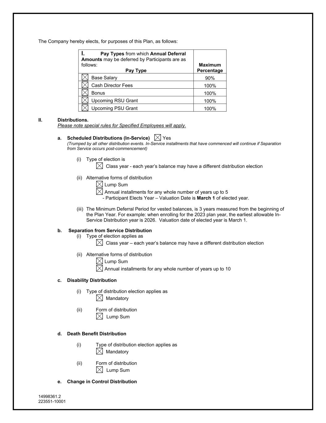
robloxs-8x991nqdcplanapp034.jpg
03/17/2023
100%